Химия | студенческий
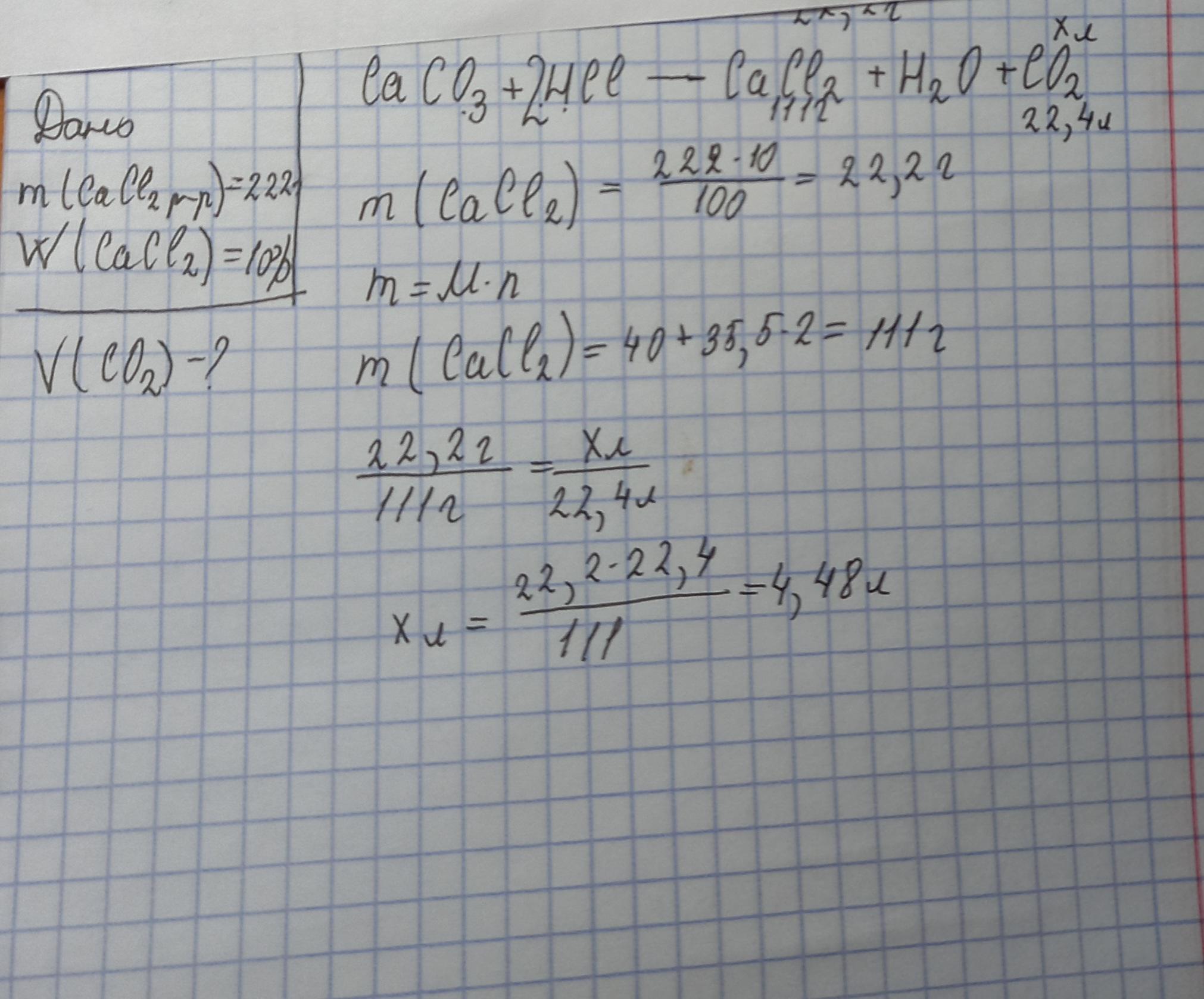
Вычислите объём углекислого газа, который выделится при действии на карбонат кальция избытка соляной кислоты, если в результате получился раствор массой 222 грамма и с массовой долей хлорида кальция 10%.

Помогите срочно ?
Помогите срочно !
Вычислите какой объем углекислого газа можно получить из известняка массой 500г, в котором массовая доля карбоната кальция 80%.

Определите массовую долю карбоната кальция в известняке, если припрокаливании образца массой 5, 0 кг выделилось 1, 0 м3 углекислого газа?
Определите массовую долю карбоната кальция в известняке, если при
прокаливании образца массой 5, 0 кг выделилось 1, 0 м3 углекислого газа.

Вычислите объём углекислого газа (н?
Вычислите объём углекислого газа (н.
У. ), который выделится при действии на избыток карбоната калия 30 г 2% - ного раствора соляной кислоты.
.

В лаборатории объем углекислого газа составляет 67, 2 литра (при нормальных условиях)получить :(а) Рассчитайте массу карбоната кальция, который реагирует с соляной кислотой?
В лаборатории объем углекислого газа составляет 67, 2 литра (при нормальных условиях)
получить :
(а) Рассчитайте массу карбоната кальция, который реагирует с соляной кислотой.
(б) Рассчитайте количество соли, образовавшейся за это время.

Какой объем углекислого газа (н?
Какой объем углекислого газа (н.
У. ) выделится при взаимодействии раствора 219 г соляной кислоты с карбонатом кальция?

Вычислите объем углекислого газа, который можно получить при взаимодействии карбоната кальция массой 10 г с соляной кислоты массой 6 г?
Вычислите объем углекислого газа, который можно получить при взаимодействии карбоната кальция массой 10 г с соляной кислоты массой 6 г.

Вычислите объем углекислого газа, образовавшегося при взаимодействии избытка соляной кислоты и навески карбоната натрия массой 500г с массовой долей примесей 15%?
Вычислите объем углекислого газа, образовавшегося при взаимодействии избытка соляной кислоты и навески карбоната натрия массой 500г с массовой долей примесей 15%.

Какой объем углекислого газа (н?
Какой объем углекислого газа (н.
У. ) выделится при растворении карбоната натрия в 60 г соляной кислоты (массовая доля HCl равна 15%)?

Определи объём (н?
Определи объём (н.
У. ) газа, который выделится при действии 200 г 4, 9% - ного раствора серной кислоты на карбонат кальция.

Найти объём газа (н?
Найти объём газа (н.
У. ), который выделится при взаимодействии натрия с раствором серной кислоты (H2SO4) массой 105 грамм и массовой долей кислоты 30%.
На этой странице находится вопрос Вычислите объём углекислого газа, который выделится при действии на карбонат кальция избытка соляной кислоты, если в результате получился раствор массой 222 грамма и с массовой долей хлорида кальция 1?. Здесь же – ответы на него, и похожие вопросы в категории Химия, которые можно найти с помощью простой в использовании поисковой системы. Уровень сложности вопроса соответствует уровню подготовки учащихся студенческий. В комментариях, оставленных ниже, ознакомьтесь с вариантами ответов посетителей страницы. С ними можно обсудить тему вопроса в режиме on-line. Если ни один из предложенных ответов не устраивает, сформулируйте новый вопрос в поисковой строке, расположенной вверху, и нажмите кнопку.

Ответ :
Дано :
Объяснение :