Химия | 10 - 11 классы
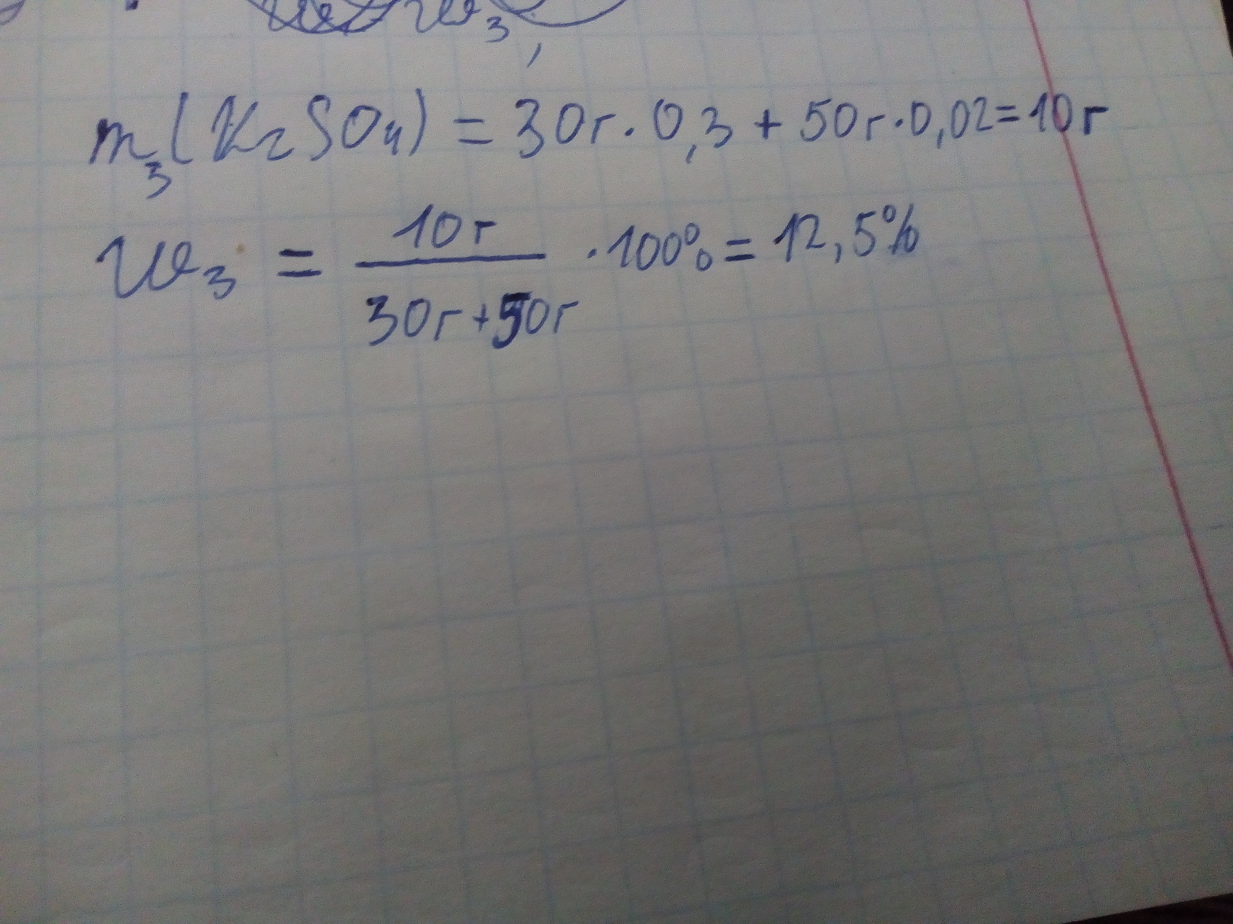
К раствору сульфата калия массов 30г с массовой долей соли 30% добавили раствор массой 50 г с массовой долей этой же соли 2% .
Рассчитайте массовую долю (%) сульфата калия в полученном растворе.

К Раствору сульфида Натрия с массой 60г?
К Раствору сульфида Натрия с массой 60г.
С массовой долей 4% добавили 1, 6г.
Это же соли.
Массовая доля сульфида натрия полученная растворе?
Можно с Дано.

Имеется 8% раствор соли?
Имеется 8% раствор соли.
Масса раствора 150 грамм.
Какова будет массовая доля (в%) соли, если к этому раствору добавить воду массой 150грамм.

К раствору массой 220г с массовой долей сахара 3% добавили сахар массой 30г?
К раствору массой 220г с массовой долей сахара 3% добавили сахар массой 30г.
Вычислите массовую долю вещества в полученном растворе.

К 53 г раствора фосфата калия с массовой долей этой соли 8% добавили избыток раствора хлорида цинка?
К 53 г раствора фосфата калия с массовой долей этой соли 8% добавили избыток раствора хлорида цинка.
Определите массу выпавшего осадка.

В раствор соли массой 3000г з массовой долей соли 10% добавили еще 50 г соли?
В раствор соли массой 3000г з массовой долей соли 10% добавили еще 50 г соли.
Как изменится массовая доля соли в новом растворе?
Вычислите массовую долю соли новом растворе.

К 250 г 10% раствора соли добавили 25 г соли?
К 250 г 10% раствора соли добавили 25 г соли.
Вычислить массовую долю соли в полученном растворе.

Рассчитайте массовую долю вещества в растворе, полученного придобавлении 10 г соли в раствор массой 250 г с массовой долей соли в нем10%?
Рассчитайте массовую долю вещества в растворе, полученного при
добавлении 10 г соли в раствор массой 250 г с массовой долей соли в нем
10%.

К 200 г 10 % - ного раствора хлорида калия добавили 25 г этой же соли?
К 200 г 10 % - ного раствора хлорида калия добавили 25 г этой же соли.
Рассчитайте массовую долю соли в полученном растворе.
(Запишите число с точностью до целых, %).

1)1 кг раствора соли содержит 75 г соли ?
1)1 кг раствора соли содержит 75 г соли .
Каково массовая доля соли в этом растворе ?
2)какую массу соли и воды нужно взять для приготовления 400 грамм 18 процентного раствора ?
3)к раствору интрата кальция массой 80 г с массовой долей 4 % добавили 1, 8 г этой же соли .
Массовая доля соли в полученном растворе___%
4)смешали 250 г раствора гидроксида натрия с массовой долей 16 % и 200 г раствора с массовой долей того же вещества 10% .
Рассчитайте массу гидроксида натрия в полученном растворе.

В 200 г раствора сульфата натрия растворили ещё 10 г соли?
В 200 г раствора сульфата натрия растворили ещё 10 г соли.
Какая массовая доля соли в полученном растворе.
Вы находитесь на странице вопроса К раствору сульфата калия массов 30г с массовой долей соли 30% добавили раствор массой 50 г с массовой долей этой же соли 2% ? из категории Химия. Уровень сложности вопроса рассчитан на учащихся 10 - 11 классов. На странице можно узнать правильный ответ, сверить его со своим вариантом и обсудить возможные версии с другими пользователями сайта посредством обратной связи. Если ответ вызывает сомнения или покажется вам неполным, для проверки найдите ответы на аналогичные вопросы по теме в этой же категории, или создайте новый вопрос, используя ключевые слова: введите вопрос в поисковую строку, нажав кнопку в верхней части страницы.

Привет друг) все ответы на фото) удачи!
; ).
Не нашли ответ?
Задайте свой вопрос - ответ придёт в течение нескольких минут
Задать вопрос Решить по фото